H τρίτη Δευτέρα του Ιανουαρίου θεωρείται η πιο καταθλιπτική μέρα του φετινού χρόνου, η λεγόμενη Blue Monday. Φέτος, η πιο καταθλιπτική ημέρα θα είναι η Δευτέρα, 15 Ιανουαρίου.
Σύμφωνα με την θεωρία των επιστημόνων από τη Μεγάλη Βρετανία, η Blue Monday, είναι η τρίτη Δευτέρα του χρόνου. Είναι η μέρα κατά την οποία οι άνθρωποι αποκτούν τα περισσότερα μελαγχολικά συναισθήματα από οποιαδήποτε άλλη, μέσα στον χρόνο. Ο ορισμός της τρίτης Δευτέρας του Ιανουαρίου ως η πιο καταθλιπτική ημέρα του έτους προκύπτει από:
- τον μελαγχολικό καιρό
- τα Χριστούγεννα που πέρασαν
- και τα λιγότερα χρήματα στο πορτοφόλι μας
Η ιστορία της Blue Monday
Όλα ξεκίνησαν τα πρώτα χρόνια της νέας χιλιετίας, όταν μία διαφημιστική εταιρεία στη Μεγάλη Βρετανία έψαχνε το σενάριο για την καμπάνια του ταξιδιωτικού γραφείου Sky Travel. Η ιδέα ήταν να ορίσουν μία ημερομηνία ως την πιο μελαγχολική του χρόνου και η απάντηση στη μελαγχολία να είναι «κλείστε σήμερα τις διακοπές σας και διώξτε τη στενοχώρια».
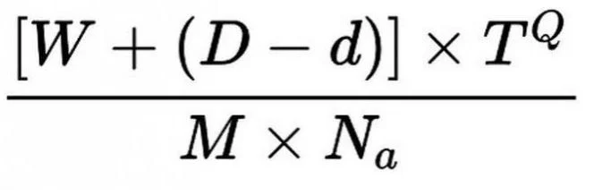
O ψυχολόγος του Πανεπιστημίου του Κάρντιφ, Κλιφ Αρνάλ, ανέλαβε να δώσει επιστημονικό περίβλημα στη θεωρία αυτή. Το 2005 ανακοίνωσε ένα μαθηματικό τύπο για να βρει ποια είναι η πιο καταθλιπτική μέρα του χρόνου και κατέληξε στην τρίτη Δευτέρα του Ιανουαρίου. Συνδύασε τον άσχημο καιρό του Ιανουαρίου, τα χρέη του Δεκεμβρίου και τα Χριστούγεννα που πέρασαν και χρειάζεται να περιμένουμε έναν ολόκληρο χρόνο για να ξαναέρθουν.
Ο μαθηματικός τύπος του Αρνάλ περιλαμβάνει έξι παράγοντες, όπως ο καιρός (W), τα έσοδα (D), τα χρέη (d), ο χρόνος από τα Χριστούγεννα (T), o χρόνος από την αποτυχία υλοποίησης των αποφάσεων για το νέο έτος (Q), τα χαμηλά επίπεδα κινήτρων (Μ) και η ανάγκη για δράση (Na).

Πώς να την αντιμετωπίσετε
Η αντιμετώπιση της Blue Monday και η διαχείριση των συναισθημάτων λύπης ή κατάθλιψης απαιτεί αυτοφροντίδα και υποστήριξη. Ακολουθούν ορισμένες στρατηγικές που θα σας βοηθήσουν:
- Επικοινωνήστε
- Ασχοληθείτε με τη φροντίδα του εαυτού σας
- Θέστε ρεαλιστικούς στόχους
- Αναγνωρίστε τα συναισθήματα
- Περιορίστε τους στρεσογόνους παράγοντες
Πηγή: ethnos.gr














































